Python 下使用 Altair 数据制图
Altair 作为一个 Python 数据制图库,提供了优雅的接口及自有的绘图语言。

Python 中的 绘图库 提供了呈现数据的多种方式,可以满足你不同的偏好,如灵活性、布局、易用性,或者特殊的风格。
和其它方式相比,我发现,Altair 提供的是一种不同的解决方案,且总体而言使用起来更为简单。得益于声明式的绘图语言 Vega,Altair 拥有一套优雅的接口,可以直接定义要绘的图应该是什么样子,而不是通过写一大堆循环和条件判断去一步步构建。
绘图流程
我通过绘制同一个多柱状图比较了多个 Python 绘图库的差异。正式开始之前,你需要将你的 Python 环境调整到能运行下面代码的状态。具体就是:
演示用数据可从网络下载,并且可以用 pandas 直接导入:
import pandas as pd
df = pd.read_csv('https://anvil.works/blog/img/plotting-in-python/uk-election-results.csv')
准备开始吧。为了做个比较,先看下面这个用 Matplotlib 做的图:

使用 Matplotlib 需要 16 行代码,图柱的位置需要自己计算。
使用 Altair 绘制相似的图,代码如下:
import altair as alt
chart = alt.Chart(df).mark_bar().encode(
x='party',
y='seats',
column='year',
color='party',
)
chart.save('altair-elections.html')
真是简洁多了!与 Seaborn 类似,Altair 所用数据的组织形式是每个变量一列(即 数据列 )。这种方式下可以将每个变量映射到图的一个属性上 —— Altair 称之为“通道”。在上例中,我们期望每个 “党派” 在 x 轴上显示为一组图柱, 其 “席位” 显示在 y 轴,且将图柱按照 “年份” 分开为 “列”。我们还想根据 “党派” 给图柱使用不同的 “颜色”。用语言表述需求的话就是上面这个样子,而这也正是代码所要表述的!
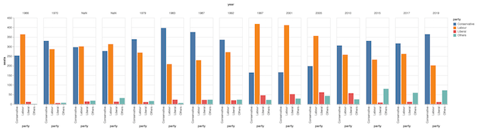
现在把图画出来:

调整样式
这和我们期待的效果有点接近了。与 Matplotlib 方案相比,主要区别在于 Altair 方案中,每个 year 组显示的时候,内部之间都有个小空白 —— 这不是问题,这只是 Altair 多柱状图显示的一个特性。
所以说呢,还需要对显示样式再做一些改进。
非整形数据
两个不是整数的年份名称(Feb 1974 和 Oct 1974)显示为 NaN 了。这可以通过将年份数值 year 转换为字符串来解决:
df['year'] = df['year'].astype(str)
指定数据排序方法
还需要让 Altair 知道如何对数据进行排序。Altair 允许通过传给它一个 Column 对象,来设定 Column 通道的更多细节。现在让 Altair 按照数据在数据集中出现的顺序排列:
chart = alt.Chart(df).mark_bar().encode(
# ...
column=alt.Column('year', sort=list(df['year']), title=None),
# ...
)
移除坐标轴标签
我们通过设置 title=None 移除了图顶的 “year” 标签。下面再一处每列数据的 “party” 标签:
chart = alt.Chart(df).mark_bar().encode(
x=alt.X('party', title=None),
# ...
)
指定颜色图
最后,我们还想自己指定图柱的颜色。Altair 允许建立 domain 中数值与 range 中颜色的映射来实现所需功能,太贴心了:
cmap = {
'Conservative': '#0343df',
'Labour': '#e50000',
'Liberal': '#ffff14',
'Others': '#929591',
}
chart = alt.Chart(df).mark_bar().encode(
# ...
color=alt.Color('party', scale=alt.Scale(domain=list(cmap.keys()), range=list(cmap.values())))
)
样式调整后的最终代码
应用上述样式调整之后,代码看起来不那么悦目了,但我们仍然是用声明的方式实现的,这正是 Altair 如此有弹性的原因所在。实现过程中,仍然是使用的异于显示数据的独立变量来分离图中不同属性的,而不是像在 Matplotlib 中那样直接对显示数据做复杂的操作。唯一的不同是,我们的变量名字封装在类似 alt.X() 的对象中,从而实现对显示效果的控制:
import altair as alt
from votes import long as df
cmap = {
'Conservative': '#0343df',
'Labour': '#e50000',
'Liberal': '#ffff14',
'Others': '#929591',
}
df['year'] = df['year'].astype(str)
# We're still assigning, e.g. 'party' to x, but now we've wrapped it
# in alt.X in order to specify its styling
chart = alt.Chart(df).mark_bar().encode(
x=alt.X('party', title=None),
y='seats',
column=alt.Column('year', sort=list(df['year']), title=None),
color=alt.Color('party', scale=alt.Scale(domain=list(cmap.keys()), range=list(cmap.values())))
)
chart.save('altair-elections.html')
现在与 Matplotlib 方案扯平了,代码数量达到了 16 行!
下图是使用我们的样式调整方案之后的 Altair 效果图:

结论
尽管在代码数量上,使用 Altair 绘图没有表现出优势,但它的声明式绘图语言使得对图层的操控更为精密,这是我比较欣赏的。Altair 还提供了清晰而独立的方式来调校显示样式,这使得 相关代码与绘图的代码块分离开来。Altair 确实是使用 Python 绘图时又一个很棒的工具库。
本文首次发布于 这里,蒙允编辑后再次发布。
via: https://opensource.com/article/20/6/altair-python
作者:Shaun Taylor-Morgan 选题:lujun9972 译者:silentdawn-zz 校对:wxy